📝 Ejercicios de continuidad
-
Calcula el valor de
para que la siguiente función sea continua:
-
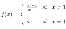
Calcula el valor de
para que la siguiente función sea continua:
-
Estudia la continuidad en
y
de la función:

-
Estudia la continuidad en los puntos
y
de la función:

-
Estudie la continuidad de la función

-
Halla dominio, continuidad y corte con los ejes de la función

-
Hallar dominio, continuidad y corte con los ejes de la función

-
Estudia gráfica y analíticamente la continuidad de la función:

-
Estudia analíticamente la continuidad de la siguiente función en el punto
:

-
Estudia la continuidad en los puntos
y
de la función:

-
Halla el valor de
para que la siguiente función sea continua:

Represente gráficamente la función para el valor de
que la hace continua.
-
Estudia la continuidad de la siguiente función:

-
Estudia la continuidad de la siguiente función:

-
Halla los valores de
y
para que la siguiente función sea continua en todo 

-
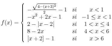
[1]Para la siguiente función dibuje su gráfica, calcule dominio y rango. Estudie un punto donde la función sea continua y otro donde sea discontinua:
![f(x) =
\left\{
\begin{array}{lrc}
- \frac{\sqrt{4-(x+3)^2}}{2} - 1 & si & x < 1
\\ -x^2+2x-1 & si & -1 \leq x < 1
\\ 2 - |x-2| & si & 1 < x \leq 4
\\ 8-2x & si & 4 < x < 6 \\
\left[ x+2 \right] -1 & si & x > 6
\end{array}
\right. f(x) =
\left\{
\begin{array}{lrc}
- \frac{\sqrt{4-(x+3)^2}}{2} - 1 & si & x < 1
\\ -x^2+2x-1 & si & -1 \leq x < 1
\\ 2 - |x-2| & si & 1 < x \leq 4
\\ 8-2x & si & 4 < x < 6 \\
\left[ x+2 \right] -1 & si & x > 6
\end{array}
\right.](local/cache-TeX/2879c87af215fa1fbd169a3c9ba1914b.png)
-
Indica en la siguiente gráfica:
– Dominio e Imagen
– Simetrías
– Intervalos de crecimiento y decrecimiento
– Continuidad
– Máximos y mínimos
-
Indica en la siguiente gráfica:
– Dominio e Imagen
– Simetrías
– Intervalos de crecimiento y decrecimiento
– Continuidad
– Máximos y mínimos
-
Indica en la siguiente gráfica:
– Dominio e Imagen
– Simetrías
– Intervalos de crecimiento y decrecimiento
– Continuidad
– Máximos y mínimos
-
Observando la siguiente gráfica (que representa una única función) Indica:
– a) las imágenes de los puntos 5 y -5
– b) intervalos donde la función es continua
– c) intervalos de crecimiento y decrecimiento
– d) un máximo (relativo), un mínimo (relativo) y el mínimo absoluto
-
Estudia la continuidad de las siguientes funciones en los puntos que se indican:


