📝 Ejercicios de selectividad
-
Ejercicios de Matemáticas Sociales resueltos de Selectividad Andalucía
– Álgebra
– Programación Lineal
– Análisis
– Probabilidad
– Estadística -
Ejercicios de Matemáticas resueltos de Selectividad Andalucía
-
Conjunto de exámenes de Selectividad de la asignatura:
Matemáticas Aplicadas a las Ciencias Sociales II
en la comunidad de Andalucía.Exámenes del año 2001
-
Conjunto de exámenes de Selectividad de la asignatura:
Matemáticas Aplicadas a las Ciencias Sociales II
en la comunidad de Andalucía.Exámenes del año 2002
-
Conjunto de exámenes de Selectividad de la asignatura:
Matemáticas Aplicadas a las Ciencias Sociales II
en la comunidad de Andalucía.Exámenes del año 2003
-
Conjunto de exámenes de Selectividad de la asignatura:
Matemáticas Aplicadas a las Ciencias Sociales II
en la comunidad de Andalucía.Exámenes del año 2004
-
Conjunto de exámenes de Selectividad de la asignatura:
Matemáticas Aplicadas a las Ciencias Sociales II
en la comunidad de Andalucía.Exámenes del año 2005
-
Conjunto de exámenes de Selectividad de la asignatura:
Matemáticas Aplicadas a las Ciencias Sociales II
en la comunidad de Andalucía.Exámenes del año 2006
-
Conjunto de exámenes de Selectividad de la asignatura:
Matemáticas Aplicadas a las Ciencias Sociales II
en la comunidad de Andalucía.Exámenes del año 2007
-
Conjunto de exámenes de Selectividad de la asignatura:
Matemáticas Aplicadas a las Ciencias Sociales II
en la comunidad de Andalucía.Exámenes del año 2008
-
Conjunto de exámenes de Selectividad de la asignatura:
Matemáticas Aplicadas a las Ciencias Sociales II
en la comunidad de Andalucía.Exámenes del año 2009
-
Conjunto de exámenes de Selectividad de la asignatura:
Matemáticas Aplicadas a las Ciencias Sociales II
en la comunidad de Andalucía.Exámenes del año 2010
También le puede interesar:
-
Conjunto de exámenes de Selectividad de la asignatura:
Matemáticas Aplicadas a las Ciencias Sociales II
en la comunidad de Andalucía.Exámenes del año 2011
También le puede interesar:
-
Conjunto de exámenes de Selectividad de la asignatura:
Matemáticas Aplicadas a las Ciencias Sociales II
en la comunidad de Andalucía.Exámenes del año 2012
También le puede interesar:
-
Conjunto de exámenes de Selectividad de la asignatura:
Matemáticas Aplicadas a las Ciencias Sociales II
en la comunidad de Andalucía.Exámenes del año 2013
También le puede interesar:
-
Conjunto de exámenes de Selectividad de la asignatura:
Matemáticas Aplicadas a las Ciencias Sociales II
en la comunidad de Andalucía.Exámenes del año 2014
También le puede interesar:
-
Calcular

-
Calcular:
donde
es el logaritmo neperiano de
.
-
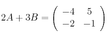
Calcula dos matrices cuadradas
y
sabiendo que
y que

-
Sea

– a) Calcula
y expresa el resultado en función de la matriz identidad
– b) Utiliza la relación hallada con la matrizz identidad para calcular