03 - Posición relativa de dos planos

geometría3Dplanosposiciones_relativas

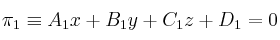
Sean los planos:
\pi_1 \equiv A_1x+B_1y+C_1z+D_1=0
\pi_2 \equiv A_2x+B_2y+C_2z+D_2=0

Para estudiar la posición relativa de los dos planos, nos fijamos en sus vectores normales:
\vec{v_1}=(A_1, B_1, C_1) y \vec{v_2}=(A_2, B_2, C_2)

 Si sus vectores normales no son proporcionales, los planos son secantes (se cortan en una recta)
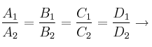
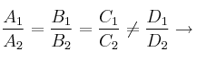
 Si sus vectores normales son proporcionales, los planos son coincidentes o paralelos. Para distinguir entre coincidentes o paralelos nos fijaremos en el término independiente de la ecuación del plano:

 \frac{A_1}{A_2}=\frac{B_1}{B_2}=\frac{C_1}{C_2}=\frac{D_1}{D_2} \rightarrow coincidentes
 \frac{A_1}{A_2}=\frac{B_1}{B_2}=\frac{C_1}{C_2} \neq \frac{D_1}{D_2} \rightarrow paralelos

Posición relativa de dos planos
Planos secantes, planos paralelos, planos coincidentes

Comentar el artículo