08 - Producto escalar. Ángulo de dos vectores. Paralelismo y Perpendicularidad
– El producto escalar de dos vectores
y
es un número. La fórmula que permite calcular su valor es:
![]()
donde
– Podemos calcular el ángulo que forman dos vectores despejando en la fórmula anterior:

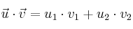
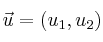
– Si conocemos las componentes (coordenadas) de los vectores
y
, el producto escalar se puede obtener de manera más fácil usando la fórmula:
![]()
– Dos vectores son paralelos cuando sus coordenadas sean proporcionales.
Ejemplo: los vectores
y
son paralelos
– Dos vectores, no nulos,
y
son ortogonales (perpendiculares), si y solo si su producto escalar vale 0. Es decir:
![]()
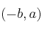
Un vector ortogonal al vector
es el vector
(cambiamos de orden sus componentes y le cambiamos el signo a una de ellas)