Funciones y Derivadas
(245) ejercicios de Matemáticas PAU Andalucía
(22) ejercicios de Mat. C. Sociales II — Análisis (Funciones, Continuidad, Límites y Derivadas)
En el mar hay una mancha producida por una erupción marina. La superficie afectada, en
, viene dada por la función
, siendo
el tiempo transcurrido desde que empezamos a observarla.
– a) ¿Cuál es la superficie afectada inicialmente, cuando empezamos a medirla?
– b) Estudie si la mancha crece o decrece con el tiempo
– c) ¿Tiene algún límite la extensión de la superficie de la mancha?
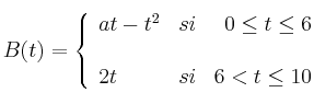
Se estima que el beneficio de una empresa, en millones de euros, para los próximos 10 años viene dado por la función
siendo
el tiempo transcurrido en años.
– a) Calcule el valor del parámetro
para que
sea un función continua.
– b) Para
represente su gráfica e indique en qué periodos de tiempo la función crecerá o decrecerá.
– c) Para
indique en qué momento se obtiene el máximo beneficio en los primeros 6 años y a cuánto asciende su valor.
Sea
el porcentaje de células, de un determinado tejido, afectadas por un cierto tipo de enfermedad transcurrido un tiempo
, medido en meses:

– a) Estudie la continuidad de la función P.
– b) Estudie la derivabilidad de P en
– c) Estudie la monotonía de dicha función e interprete la evolución del porcentaje de células afectadas.
– d) ¿En algún momento el porcentaje de células afectadas podría valer 50?
Se considera la función 
– a) Determine la monotonía y curvatura de la función.
– b) Calcule sus asíntotas.
– c) Represéntela gráficamente.
Un banco lanza al mercado un plan de inversión cuya rentabilidad
, en miles de euros, viene dada en función de la cantidad,
, que se invierte, también en miles de euros, por la siguiente expresión:
, con
.
– a) Calcule la rentabilidad para una inversión de 100000 euros.
– b) Deduzca y razone qué cantidad habría que invertir para obtener la máxima rentabilidad.
– c) ¿Qué rentabilidad máxima se obtendría?