Selectividad Andalucía 2012-3-B2
Sea
el porcentaje de células, de un determinado tejido, afectadas por un cierto tipo de enfermedad transcurrido un tiempo
, medido en meses:

– a) Estudie la continuidad de la función P.
– b) Estudie la derivabilidad de P en
– c) Estudie la monotonía de dicha función e interprete la evolución del porcentaje de células afectadas.
– d) ¿En algún momento el porcentaje de células afectadas podría valer 50?
SOLUCIÓN
Continuidad
– En
es continua por ser polinómica
– En
se trata de una función racional que sólo es discontinua en
(punto que anula el denominador), por tanto en
es continua
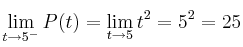
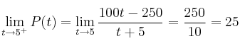
– Veamos la continuidad en
Coinciden ambos límites, por tanto es continua en
.
Derivabilidad en 
La función derivada sería:

Calculamos derivadas laterales en
–
–
No coinciden las derivadas laterales, por tanto no es derivable en ![]()
Monotonía
Dado que se trata de funciones conocidas (parábola e hipérbola), podríamos dibujarla y a vista de la gráfica determinar la monotonía. No obstante, vamos a estudiar la monotonía mediante derivadas, como si se tratase de funciones desconocidas:
– En el primer trozo
El intervalo a estudiar es
. Si tomamos un punto, por ejemplo
, vemos que
, por tanto creciente en
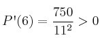
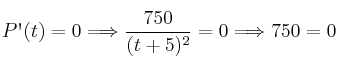
– En el segundo trozo, si hacemos
, es decir, ninguna solución (lo cual quiere decir que será siempre creciente o siempre decreciente).
Si tomamos un punto, por ejemplo
, vemos que
, por tanto creciente en
Concluimos que la función siempre es creciente.
El porcentaje de células sigue creciendo siempre, sin llegar nunca al
pues hay una asíntota en
.
d) Veamos cuándo el porcentaje es de 50
Debemos mirarlo en el segundo trozo, pues el primero llega como máximo a ![]()

A los 10 meses el porcentaje de células será del ![]()