Asíntotas de funciones racionales
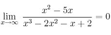
Calcula las asíntotas verticales y horizontales de la función 
SOLUCIÓN
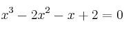
Buscamos las asíntotas verticales en los puntos que anulan el denominador.
Resolvemos la ecuación
y obtenemos como soluciones
,
y
. Por tanto las asíntotas verticales son las rectas:
,
y 
Asíntotas horizontales
(porque el grado del denominador es mayor), por tanto tiene como asíntota horizontal la recta 