Matrices, Determinantes y Sistemas
(53) ejercicios de Matrices, Determinantes y Sistemas
-
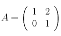
Sea la matriz

Hallar las matrices B que conmuten con A; es decir:
-
Calcula
siendo A la siguiente matriz

-
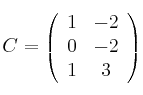
Calcula todos los productos posibles (de dos factores dsitintos) entre las siguientes matrices



-
Dadas las matrices

Se pide:
– a)
– b)
-
Calcula, si existe, la inversa de las siguientes matrices


