Calcular derivada aplicando definición
Dada la función
, calcula la derivada de la función en
utilizando la definición de derivada (calculando un límite).
SOLUCIÓN
![]()
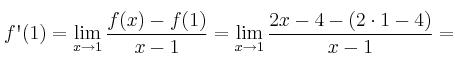
Aplicamos la definición de derivada


Dada la función
, calcula la derivada de la función en
utilizando la definición de derivada (calculando un límite).
![]()
Aplicamos la definición de derivada

