Calcular matriz inversa usando determinantes
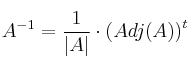
Para calcular la matriz inversa de una matriz
, usaremos la fórmula:

– En primer lugar calculamos el determinante de A. Si
la matriz
no tiene inversa (hemos terminado). Si
continuamos:
– Ahora calculamos la matriz adjunta
– A la matriz adjunta, que acabamos de calcular, le hacemos su traspuesta.
– Finalmente dividimos todos los elementos de la matriz resultante por det(A)
Ejemplo
Vamos a calcular la inversa de la matriz
– Calculamos el determinante: 
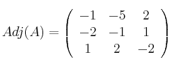
– Calculamos la matriz adjunta
– Le hacemos la traspuesta: 
– Por últimos, dividimos por -3 (valor de |A|)
