Continuidad de las principales funciones
Continuidad de las principales funciones
Las funciones elementales (polinómicas, racionales, exponenciales, logarítmicas, trigonométricas) son continuas en todo su dominio.
– Ejemplo: las funciones polinómicas tienen como domnio todo R, por tanto son continuas en todo R
– Ejemplo 2: las funciones raciones son continuas en todo su dominio (todo R excepto los puntos que anulan el denominador)
Continuidad de las funciones a trozos
Recordemos que la continuidad de una función se puede entender como el poder dibujarla sin levantar el lápiz del papel.
Las funciones a trozos tienen varias definiciones (una para cada trozo), por lo que es posible que no haya continuidad entre un trozo y el siguiente.
Para comprobarlo tenemos que aplicar la definición de continuidad en un punto, a los puntos que separan dos trozos, fijándonos en lo siguiente:
– Mirar bien los signos
,
,
,
de la definición de los trozos (a la hora de calcular la imagen)
– Al calcular el límite en estos puntos que separan trozos, debemos calcular límites laterales.
Veamos un ejemplo:
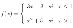
Estudie la continuidad de la función

SOLUCIÓN:
En el intervalo
es continua por ser polinomica
En el intervalo
es continua por ser polinomica
En el punto
(punto de separación de ambos trozos) debemos aplicar la definición de continuidad en un punto:
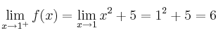
– 1) Comprobamos si hay imagen
![]()
– 2) Calculamos los límites laterales
La 2ª condición también la cumple: existe el límite y vale 6
– 3) La 3ª condición también se cumple (límite e imagen existen y valen lo mismo).
Por tanto podemos decir que la función es continua en x=1
Concluimos, como resumen, que la función es continua en todo R
Si dibujamos la gráfica, podemos ver como ambos trozos se unen (y por tanto hay continuidad)
Mensajes
26 de julio de 2016, 12:08, por Jaime Falomir
Hola, buenos dias.
He estado mirando la continuidad en un punto, y en el apartado del estudio d los lim laterales pone que sustituye el 1- y 1+ y en ambos casos sustituye el propio 1 .
Mi duda es la siguiente, no se devencojer valores cercanos al 1- y al 1+ pero sin llegar al 1 ? Como por ejemplo el 0.9 y el 1.1.
Muchas gracias por los videos, son de una ayuda incalculable. Saludos
26 de julio de 2016, 12:23, por dani
En ambos casos se coge "1" , pero distinto trozo de función (según sea a izquierda o derecha) por ser el "1" un punto que está entre los dos trozos de la función.
Lo de coger valores cercanos al punto (por ej. 0.9, 0.99, 0.999, ..) es para entender el concepto de límite (no para el calculo práctico de límites).
En límites más avanzados, hay veces en que no tenemos ni idea de cómo calcular un determinado límite ( en ese caso, un buen truco es tomar la calculadora y calcular algunos valores cercanos .. al menos nos dará una idea del resultado).
Salu2