Contraste Hipótesis Bilateral para la Media
Cuando una máquina funciona correctamente, produce piezas cuya longitud sigue una ley normal de media 12 cm y desviación típica 1 cm. El encargado de control de calidad ha tomado una muestra de 25 piezas y se obtiene una media de 11,5 cm. Contrasta la hipótesis de que la máquina está funcionando correctamente con un nivel de significación igual a 0,05
SOLUCIÓN
Se trata de un contraste de hipótesis bilateral para la media (ver la teoría).
Contraste
(la longitud media es de 12 cm)
(la longitud media es distinta de 12 cm)
Datos
confianza: ![]()
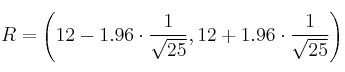
Región de aceptación (R)


![]()
Decisión:
Como
Rechazamos ![]()
Podemos afirmar que la máquina no funciona correctamente (con un nivel de significación de 0.05)