Contraste Hipótesis Media
El diámetro de unos ejes sigue una distribución normal de media desconocida y desviación típica 2 mm. Se toma una muestra de tamaño 25 y se obtiene un diámetro medio de 36 mm. ¿Se puede afirmar, con un nivel de significación de 0.01, que la media de la población es de 40 mm?
SOLUCIÓN
Se trata de un contraste de hipótesis bilateral para la media (ver la teoría).
Contraste
(la media de la población es de 40 mm)
(la media de la población es distinta de 40 mm)
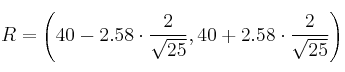
Datos
confianza: ![]()
Región de aceptación (R)


![]()
Decisión:
Como
Rechazamos ![]()
Podemos afirmar que la media no es de 40 mm (con un nivel de significación de 0.01)