Contraste Unilateral Media
La duración de las bombillas de 100 vatios que fabrica una empresa sigue una distribución normal con una desviación típica de 120 horas. Su vida media está garantizada durante un mínimo de 800 horas. Se escoge al azar una muestra de 50 bombillas de un lote y, después
de comprobarlas, se obtiene una vida media de 750 horas. Con un nivel de significación de 0,01, ¿habría que rechazar el lote por no cumplir la garantía?
SOLUCIÓN
Se trata de un contraste de hipótesis unilateral para la media (ver la teoría).
Contraste
(duran al menos 800 horas)
(duran menos de 800 horas)
Datos
confianza: ![]()
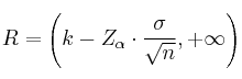
Región de aceptación (R)


![]()
Decisión:
Como
Rechazamos ![]()
Podemos rechazar el lote porque no cumple la garantía (con un nivel de significación de 0.01)