Cuarto vértice de un tetraedro
Los puntos
,
y
son tres de los vértices de un tetraedro. El cuarto vértice D está contenido en la recta r que pasa por el punto
y es perpendicular al plano
que contiene a los puntos A, B y C.
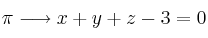
– a) Calcule la ecuación del plano que contiene a los puntos A, B y C.
– b) Calcule la ecuación de la recta r que pasa por el punto
y es perpendicular al plano
– c) Calcule las coordenadas del vértice D sabiendo que el volumen del tetraedro es 18.
SOLUCIÓN
a) Podemos determinar la ecuación del plano
mediante un punto:
y dos vectores:
y 

![]()
Podemos simplificar dividiendo entre 9
![]()
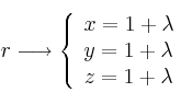
– b) Ecuación de la recta (r) que pasa por
y es perpendicular a ![]()
Tomamos como vector director el vector normal al plano:
y como punto el ![]()
En ecuaciones paramétricas sería:

– c) Del vértice D tenemos dos datos:
1) D está en la recta r por tanto sus coordenadas son de la forma:
![]()
2) El volumen del tetraedro es 18
El volumen de un tetraedro se calcula mediante el producto mixto:
Volumen del tetraedro ![]()



![\frac{1}{6} \cdot |[\vec{AB} , \vec{AC} , \vec{AD}]|=18 \frac{1}{6} \cdot |[\vec{AB} , \vec{AC} , \vec{AD}]|=18](local/cache-TeX/71fd9be72351fd7d64eac4833c472f1c.png)
![[\vec{AB} , \vec{AC} , \vec{AD}] =
\left| \begin{array}{ccc}
-3 & 3 & 0 \\
-3 & 0 & 3 \\
\lambda -2 & +\lambda & +\lambda
\end{array} \right| =27 \lambda [\vec{AB} , \vec{AC} , \vec{AD}] =
\left| \begin{array}{ccc}
-3 & 3 & 0 \\
-3 & 0 & 3 \\
\lambda -2 & +\lambda & +\lambda
\end{array} \right| =27 \lambda](local/cache-TeX/6291104f0926d0b51502b724021b1961.png)

![]()
![]()

![]()
Como
obtendríamos dos posibles valores para el punto D:
y ![]()
Si no hubiésemos tenido en cuenta el valor absoluto, tendríamos esta imagen
Pero lo correcto es considerar las dos opciones

