01 - Determinación y ecuaciones de la recta
Podemos determinar una recta en el espacio de tres maneras distintas:
– Dos puntos distintos
– Un punto y un vector director
– La intersección de dos planos no paralelos
Ecuaciones de la recta
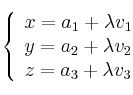
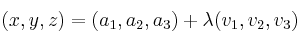
Partimos de un punto
por el que pasa y de un vector director ![]()
Ecuación vectorial
![]()
Ecuaciones paramétricas

Ecuación continua

Ecuaciones implícitas
