Hola, no entiendo por qué cuando sale X de factor común lo hace por la derecha en vez de por la izquierda. Yo lo había hecho por la izquierda y el resultado no es el mismo. Gràcias!
no estoy muy segura que el ejercicio este bien realizado
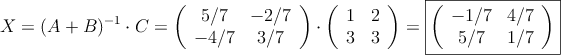
al momento de realizar el inverso de (a+b) no se realiza la traspuesta correctamente, ya que da un resuldado erroneo.
por favor corregir o explicar el porque
Siempre puede haber un error humano, pero en este caso no lo hay.
He hecho la inversa con un software de cálculo de matrices y el resultado es correcto.
Para hacer la inversa de una matriz de 2x2 te recomiendo el siguiente método: cálculo de la matriz inversa
Mensajes
10 de marzo de 2020, 22:09, por Paola
Hola, no entiendo por qué cuando sale X de factor común lo hace por la derecha en vez de por la izquierda. Yo lo había hecho por la izquierda y el resultado no es el mismo. Gràcias!
11 de marzo de 2020, 06:41, por dani
El producto de matrices no es conmutativo.
No es lo mismo A·B que B·A
Por eso las propiedades distributivas se aplican respetando el orden:
AX+BX = (A+B)X
XA+XB = X(A+B)
31 de marzo de 2020, 19:50, por lina
no estoy muy segura que el ejercicio este bien realizado
al momento de realizar el inverso de (a+b) no se realiza la traspuesta correctamente, ya que da un resuldado erroneo.
por favor corregir o explicar el porque
31 de marzo de 2020, 20:30, por dani
Siempre puede haber un error humano, pero en este caso no lo hay.
He hecho la inversa con un software de cálculo de matrices y el resultado es correcto.
Para hacer la inversa de una matriz de 2x2 te recomiendo el siguiente método:
cálculo de la matriz inversa
29 de septiembre de 2020, 13:01, por Fernando
No se si me estaré confundiendo.
Pero cuando haces la inversa no debería ser
5/7 -4/7
– 2/7 3/7
Ya que el adjunto del termino 21= 21 y el 21=12.
30 de septiembre de 2020, 07:14, por dani
Si haces la inversa usando el método Calcular matriz inversa usando determinantes recuerda que la matriz adjunta hay que trasponerla.
También recuerda que los adjuntos
y
llevan el signo cambiado respecto a sus menores complementarios