Ecuaciones matriciales 4179
Sean las matrices
,
, ![]()
a) Justifique cuáles de las siguientes operaciones se pueden realizar y efectúelas
cuando sea posible:
![]()
![]()
b) Resuelva la siguiente ecuación matricial: 
SOLUCIÓN
a) ![]()
Podemos hacer la operación
: al multiplicar una matriz de (1x2) por una de (2x2) obtendríamos una matriz de dimension (1x2), la cual no se podría sumar con la matriz B (2x1) al no tener la misma dimensión.
Por lo tanto esta operación NO se puede hacer
![]()
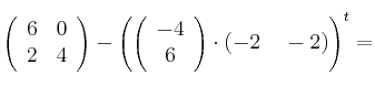
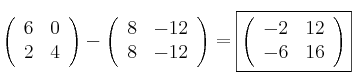
La operación B·C (2x1) · (1x2) se puede hacer obteniendo una matriz de (2x2)
Al hacer su traspuesta obtendremos una matriz de (2x2) que se podrá sumar o restar con la matiz A (2x2) al tener ambas la misma dimensión.
Por lo tanto Si se puede hacer la operación completa y obtendríamos:
![]()




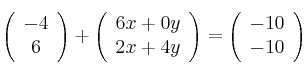
Para que AX se pueda sumar con B, que es de dimensión (2x1), tiene que tener también dimensión (2x1).
Como A es de (2x2), entonces X tiene que ser de (2x1)
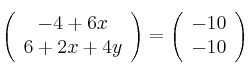
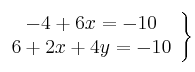
Entonces podemos expresar la ecuación matricial de la forma:





La igualdad de matrices anterior nos genera el sistema de ecuaciones siguiente:

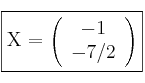
Al resolver el sistema obtenemos como soluciones:
![]()
Por lo tanto, la solución a la ecuación matricial es:
