Ejercicio Geometría en el espacio
Considera los puntos
,
y ![]()
– (a) Halla la ecuación del plano que contiene a
,
y
– (b) Halla el área del triángulo de vértices
,
y ![]()
SOLUCIÓN
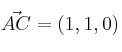
– (a) Para determinar el plano usaremos un punto (A) y dos vectores
y
(ver teoría)
Resolviendo el determinante y simplificando obtenemos

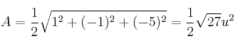
– (b) El área del triángulo se calcula según la teoría



(
significa unidades cuadradas .. puesto que es una superficie)
Mensajes
17 de mayo de 2017, 23:53, por irene
Si el punto A:(1,0,2) y C:(1,0,4) El vector AC no es (0,0,2)//(0,0,1)?
21 de mayo de 2017, 20:56, por dani
Había un error en el enunciado.
Ya está corregido.
Un saludo.