06 - Producto vectorial
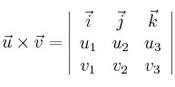
El producto vectorial de dos vectores
y
es otro vector que se representa
y se define como:

El vector producto vectorial
es ortogonal a
y ortogonal a
.
La orientación viene definida por la regla del sacacorchos o regla del tornillo. Observe en la siguiente imagen las distintas orientaciones de
y ![]()
Producto vectorial
sentido del vector producto vectorial
Cálculo de áreas usando el producto vectorial
El módulo del vector producto vectorial representa gráficamente el área de un paralelogramo, y su mitad es el área del triángulo (ver siguiente imagen)
Cálculo de áreas usando el producto vectorial
Área de paralelogramo y triangulo mediante producto vectorial