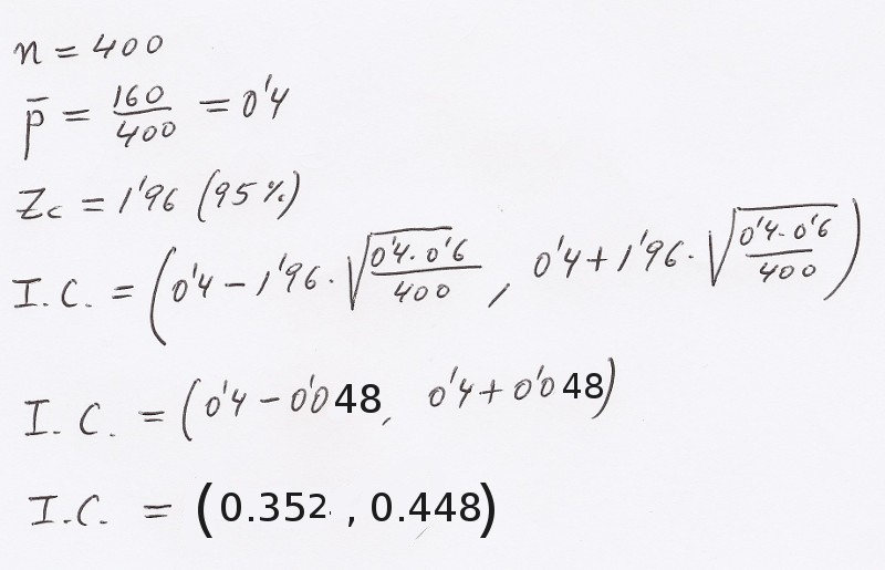
Ejercicio Intervalo confianza para la Proporción
En una encuesta de opinión, durante una campaña electoral en una ciudad, se preguntó a una muestra aleatoria de 400 personas a cuál de los dos candidatos pensaban votar. Declararon 160 que votarán a un determinado partido. Obtén un intervalo de confianza del 95 % para la proporción de ciudadanos que votará a ese partido en las elecciones.
