Ejercicio Programación Lineal 4176
Un fabricante diseña pantalones y camisas. Para ello dispone de 50 metros de tejido de algodón y 124 metros de tejido de lino. Cada pantalón precisa 0.75 metros de algodón y 2 metros de lino. Para cada camisa se necesitan 0.5 metros de algodón y 1 metro de lino. El precio de mercado del pantalón es de 40 euros y el de la camisa de 25 euros. Se trata de encontrar el número de pantalones y camisas que debe diseñar el fabricante para obtener unos ingresos máximos.
SOLUCIÓN
| Pantalones | Camisas | Restricciones | Inecuaciones | |
| Algodón | 0.75 | 0.5 | Máximo 50 | |
| Lino | 2 | 1 | Máximo 124 | |
| Cantidad | x | y | ||
| Precio | 40 | 25 |
Ingresos: 40x+25y
Función Objetivo: ![]()
Las inecuaciones
nos reducen la región factible al cuadrante superior derecho.
Ahora debemos representar las otras dos inecuaciones, que nos acotarán aún más la región factible.
Representamos la recta
tomando un par de puntos:
Si
Punto ![]()
Si
Punto 
Dibujamos la recta (uniendo ambos puntos) y comprobamos cuál es el semiplano solución.
El punto (0,0) cumple la inecuación
por lo que el semiplano solución es la parte donde está el (0,0)
La solución provisional quedará así:
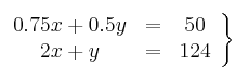
Pero aún nos falta otra inecuación
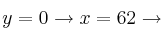
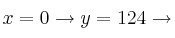
Representamos la recta
tomando un par de puntos:
Si
Punto ![]()
Si
Punto ![]()
Dibujamos la recta (uniendo ambos puntos) y comprobamos cuál es el semiplano solución.
El punto (0,0) cumple la inecuación
por lo que el semiplano solución es la parte donde está el (0,0)
Por tanto nos queda como solución final el siguiente recinto coloreado:
Ahora debemos aplicar la función objetivo a los 4 vértices.
Tres de los vértices son conocidos: (0,0) , (60,0) y (0,100). Tenemos que calcular el cuarto vértice resolviendo el sistema formado por las ecuaciones de las dos rectas que pasan por dicho vértice:

Al resolver el sistema obtenemos como resultado x=48 ; y =28 con lo que el cuarto vértice es el punto (48,28)
Aplicamos la función objetivo
a los 4 vértices:
![]()
![]()
![]()
![]()
Conclusión: Los ingresos máximos serían de 2620 euros y se obtendrían diseñando 48 pantalones y 28 camisas

