Estadística Inferencial
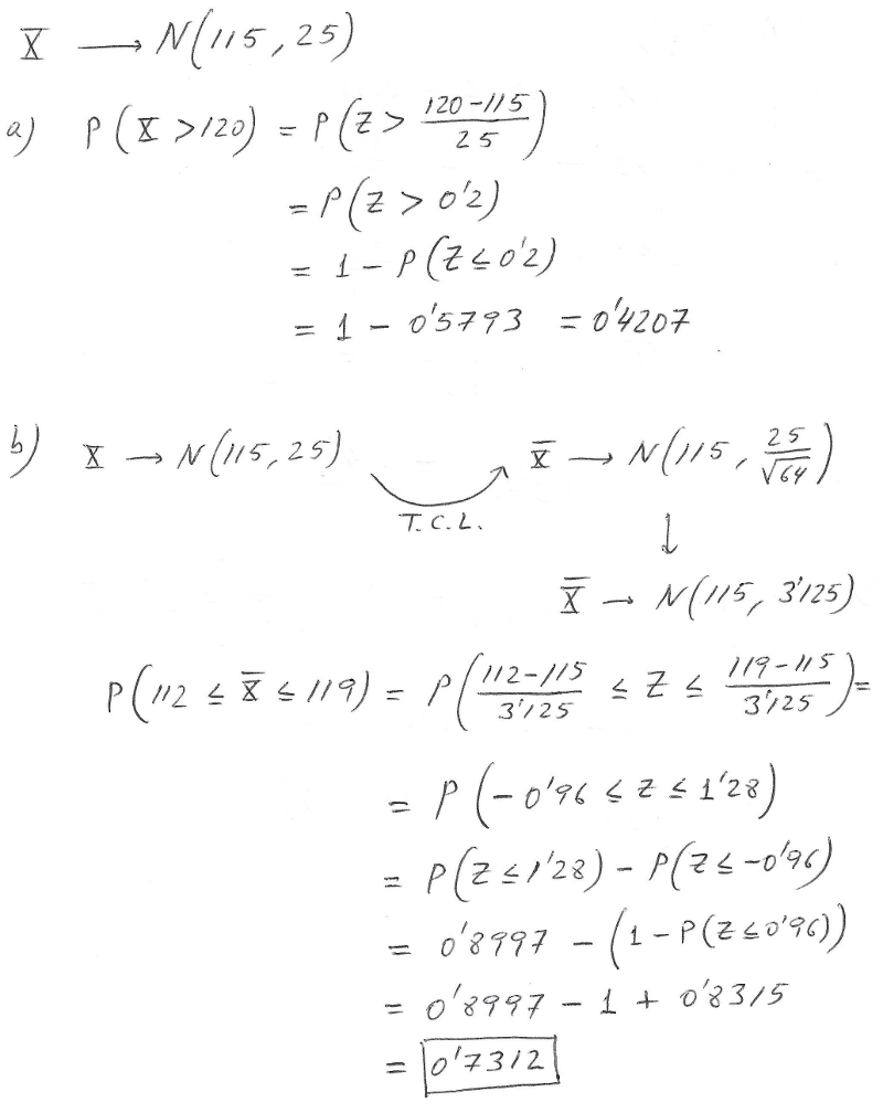
El peso de las peras de una cosecha se distribuye según una ley normal de media 115 gramos y desviación típica 25 gramos.
– a) ¿Cuál es la probabilidad de que una pera elegida al azar pese más de 120 gramos?
– b) ¿Cuál es la probabilidad de que el peso medio de una muestra de 64 peras esté entre 112 y 119 gramos?
