Estadística intervalo confianza
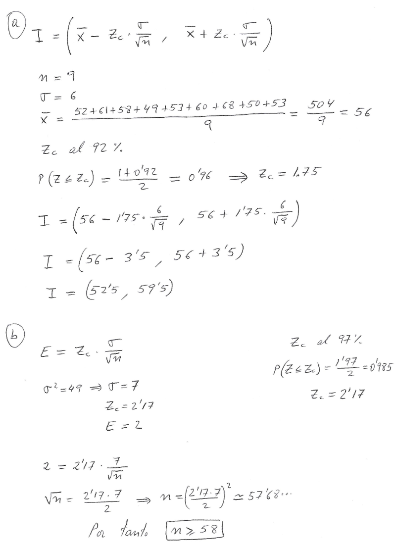
– a) Los valores 52, 61, 58, 49, 53, 60, 68, 50, 53 constituyen una muestra aleatoria de una variable Normal, con desviación típica 6. Obtenga un intervalo de confianza para la media de la población, con un nivel de confianza del 92 %.
– b) Se desea estimar la media poblacional de otra variable aleatoria Normal, con varianza 49, mediante la media de una muestra aleatoria. Obtenga el tamaño mínimo de la muestra para que el error máximo de la estimación, mediante un intervalo de confianza al 97 %, sea menor o igual que 2.
SOLUCIÓN
Para entender el ejercicio es necesario conocer la teoría de Intervalo de confianza para la media
