Expresión matricial de un sistema de ecuaciones

expresión_matricial_de_sistemagaussmatrices

Dado el siguiente sistema:
 \left\{
\begin{array}{l}
    -z+2x=-1
\\ -x+2y-2=-3
\\ 4y+3-z=0
\end{array}
\right.

 a) Escribe la matriz de los coeficientes, la matriz ampliada, la de las incógnitas y la de los términos independientes.
 b) Resuelve el sistema por el método que desees. A la vista de las soluciones, ¿de qué tipo es el sistema?

SOLUCIÓN

 \left\{
\begin{array}{l}
    -z+2x=-1
\\ -x+2y-2=-3
\\ 4y+3-z=0
\end{array}
\right.
En primer lugar debemos expresar el sistema de forma ordenada
 \left\{
\begin{array}{ccccc}
    2x & & -z &=&-1
\\ -x & +2y & &=&-1
\\ &4y & -z&=&-3
\end{array}
\right.

Matriz de los coeficientes:
 \left(
\begin{array}{ccc}
    2 & 0 & -1 
\\ -1 & 2 & 0
\\ 0 & 4 & -1
\end{array}
\right )

Matriz ampliada:
 \left(
\begin{array}{ccc}
    2 & 0 & -1 
\\ -1 & 2 & 0
\\ 0 & 4 & -1
\end{array}
\right |
\left.
\begin{array}{c}
    -1 
\\ -1 
\\ -3 
\end{array}
\right )

Matriz de las incógnitas:
\left (
\begin{array}{c}
    x 
\\ y 
\\ z 
\end{array}
\right )

Matriz de los términos independientes:
\left (
\begin{array}{c}
    -1 
\\ -1 
\\ -3 
\end{array}
\right )

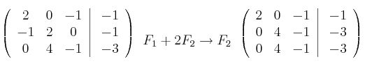
 b) Resolvemos el sistema por el método de Gauss

 \left(
\begin{array}{ccc}
    2 & 0 & -1 
\\ -1 & 2 & 0
\\ 0 & 4 & -1
\end{array}
\right |
\left.
\begin{array}{c}
    -1 
\\ -1 
\\ -3 
\end{array}
\right )
\begin{array}{l}
   
    \\ F_1+2F_2 \rightarrow F_2
    \\
\end{array}
 \left(
\begin{array}{ccc}
    2 & 0 & -1 
\\ 0 & 4 & -1
\\ 0 & 4 & -1
\end{array}
\right |
\left.
\begin{array}{c}
    -1 
\\ -3 
\\ -3 
\end{array}
\right )
 \left(
\begin{array}{ccc}
    2 & 0 & -1 
\\ 0 & 4 & -1
\\ 0 & 4 & -1
\end{array}
\right |
\left.
\begin{array}{c}
    -1 
\\ -3 
\\ -3 
\end{array}
\right )
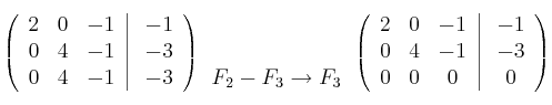
\begin{array}{l}
   
    \\ 
    \\ F_2-F_3 \rightarrow F_3
\end{array}
 \left(
\begin{array}{ccc}
    2 & 0 & -1 
\\ 0 & 4 & -1
\\ 0 & 0 & 0
\end{array}
\right |
\left.
\begin{array}{c}
    -1 
\\ -3 
\\ 0 
\end{array}
\right )
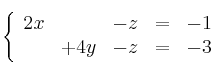
Se trata de un Sistema Compatible Indeterminado (infinitas soluciones) que podemos expresar así:
 \left\{
\begin{array}{ccccc}
    2x & & -z &=&-1
\\  & +4y & -z &=&-3
\end{array}
\right.
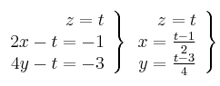
Resolvemos el sistema:
 \left.
\begin{array}{r}
  z = t
 \\   2x  -t =-1
\\  4y  -t =-3
\end{array}
\right \}
\left.
\begin{array}{r}
  z = t
 \\   x   =\frac{t-1}{2}
\\  y  =\frac{t-3}{4}
\end{array}
\right \}

Comentar el ejercicio