Funciones. Definición y Tipos
Funciones
Definición: Se define función real de variable real, a una relación que asocia a un número
de un conjunto inicial, otro número
de un conjunto final. El número
es único, es decir, a
no se le puede asociar más de un número.
A las funciones se les suele llamar
, y la relación se expresa de la siguiente manera:
.
Tipos de funciones
Funciones polinómicas
–
–
– ![]()
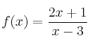
Funciones racionales (cociente de polinomios)
–
– 
Funciones logarítmicas
–
– ![]()
Funciones exponenciales
–
– ![]()
Funciones irracionales
–
– ![y = \sqrt[3]{2x} y = \sqrt[3]{2x}](local/cache-TeX/63142c85451c5d2fa9c4c2b4e0dc82bb.png)
Funciones trigonométricas
–
– ![]()
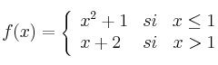
Funciones a trozos
– 