Funciones, Derivadas e Integrales
(132) ejercicios de Funciones, Derivadas e Integrales
-
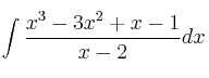
Resuelve la integral:

-
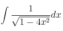
Resuelve la integral:
–

-
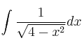
Resuelve la integral:
–

-
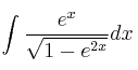
Resuelve la integral:

-
Resuelve la integral:
