Funciones, Derivadas e Integrales
(132) ejercicios de Funciones, Derivadas e Integrales
-
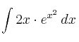
Resuelve la integral:

-
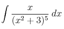
Resuelve la integral:

-
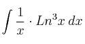
Resuelve la integral:

-
Resuelve la integral:

-
El área del recinto limitado por las curvas de ecuaciones
y 
con
, vale
. Calcula el valor de
.
