Inferencia Estadística
A 400 personas elegidas al azar se les ha preguntado su gasto anual en libros, obteniéndose una cantidad media de 22000 pesetas. Con independencia de esta muestra, se sabe que la desviación típica de la inversión en libros de la población es de 4000 pesetas.
– a) Halle un intervalo de confianza al 90% y centrado, para la media poblacional de esta inversión.
– b) ¿Qué tamaño muestral sería necesario para que el correspondiente intervalo de confianza del aparatado anterior fuese ![]()
SOLUCIÓN
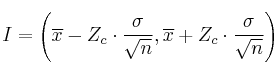
Se trata de un intervalo de confianza para la media que calculamos con la fórmula:

Para calcular el intervalo necesitamos los siguientes datos:
–
: tamaño de la muestra
–
: desviación típica
–
: media de la muestra
–
: valor crítico (para una confianza del
)
Calculamos el valor crítico:
![]()
Buscamos en el interior de la tabla el número más próximo a 0.95
Vemos que hay dos valores igual de próximos a 0.95, que son 0.9495 y 0.9505
Estos valores corresponden a 1.64 y a 1.65
Lo ideal es tomar la mitad: ![]()
Si se toma 1.64, o bien, 1.65 se debe considerar el ejercicio como correcto.
Ahora que ya tenemos todos los datos, podemos construir el intervalo
![]()
![]()
![]()
![]()
b) A partir de un intervalo de confianza
se puede obtener el error con la fórmula ![]()
Para el intervalo
será:
![]()
Entonces no tenemos más que despejar "n" en la fórmula:
![]()
![]()
![]()
![]()
![]()
Por tanto, el tamaño muestral sería ![]()