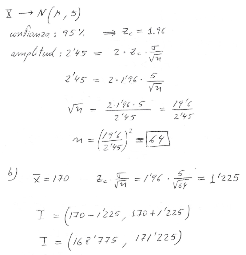
Inferencia Estadística
La altura de los jóvenes andaluces se distribuye según ley normal de media desconocida y varianza
. Se ha tomado una muestra aleatoria, y con una confianza de 95% , se ha construido un intervalo para la media poblacional cuya amplitud es 2,45 cm.
– a) ¿Cuál ha sido el tamaño de la muestra seleccionada?
– b) Determina el límite superior y el inferior del intervalo de confianza si la muestra tomada dio una altura media de 170 cm
