Inferencia Estadística
Una encuesta realizada sobre 40 aviones comerciales revela que la antigüedad media de estos es de 13,41 años, con una desviación típica de 8,28 años. Se pide:
– a) ¿Entre qué valores, con un 90% de confianza, se encuentra la auténtica media de la flota comercial?
– b) Si se quiere obtener un nivel de confianza del 95% cometiendo el mismo error de estimación que en el apartado anterior y suponiendo también que la desviación típica muestral es de 8,28 años, ¿cuántos elementos debería componer la muestra?
SOLUCIÓN
– a) Nos piden un intervalo de confianza para la media, cuya fórmula sabemos que es:

El enunciado nos proporciona los siguientes datos:
(tamaño de la muestra)
(media de la muestra)
(desviación típica)
confianza: ![]()
Tenemos todos los datos necesarios para el intervalo, excepto el valor crítico (
) que se calcula a partir de la confianza:
Valor crítico para una confianza del ![]()

Miramos la tabla de la N(0,1) y obtenemos ![]()
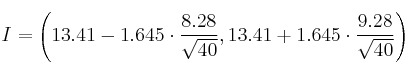
Por tanto el intervalo será:

![]()
![]()
Los resultados están aproximados a las centésimas (2 decimales) puesto que los datos que nos aporta el problema van con 2 decimales.
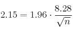
– b) Nos pide el tamaño de la muestra (n) con estos datos:
confianza: ![]()
Error: el mismo que apartado anterior (
)
(desviación típica).
Debemos calcular el
de nuevo porque la confianza es distinta en este apartado.
Cálculo del valor crítico ![]()


![]()
Miramos la tabla de la N(0,1) y obtenemos ![]()
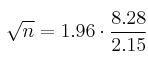
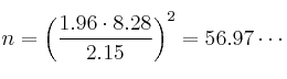
Ahora aplicamos la fórmula del Error y despejamos y calculamos "n"




Por tanto el tamaño de la muestra debe ser