Introducción a las razones trigonométricas
Razones trigonométricas de un ángulo agudo
Para definir las razones trigonométricas del ángulo
(seno, coseno, tangente) nos ayudaremos de un triángulo rectángulo



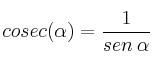
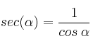
Existen otras tres razones trigonmétricas llamadas inversas: secante (sec), cosecante (cosec) y cotangente (cotg):


