Matrices: inversa y ecuación matricial
Dadas las matrices:

– a) Justifica si la matriz C tiene inversa
– b) Halla la inversa de C
– c) Resuelve la ecuación matricial ![]()
SOLUCIÓN
– a) Para que una matriz tenga inversa, su determinante tiene que ser distinto de cero.
Por lo tanto C tiene inversa.
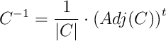
– b) Calculamos la inversa usando la fórmula:






– c) ![]()
![]()



