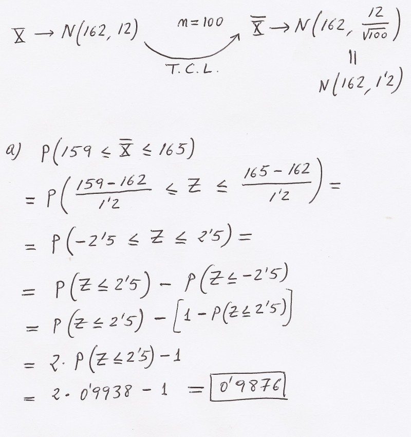
Medias Muestrales. Ejercicio 3636
Se supone que la estatura de los jóvenes de 18 años de cierta población sigue una dis-
tribución normal de media 162 cm y desviación típica 12 cm. En una muestra tomada al
azar de 100 de esos jóvenes:
– a) ¿Cuál es la probabilidad de que la media esté entre 159 y 165 cm?.
