Muestreo estratificado. Ejercicio 4525

Ejercicios_Resueltosinferencia

En una barriada viven 140 adultos, 91 jóvenes y 84 niños. Se quiere entrevistar a 45 personas de la aldea mediante muestreo estratificado. ¿De Cuántos adultos, jóvenes y niños estaría compuesta la muestra?

SOLUCIÓN

Adultos Jóvenes Niños Total
Población \longrightarrow 140 91 84 315
Muestra \longrightarrow x y z 45

\frac{140}{x}=\frac{315}{45} \longrightarrow x = \frac{140 \cdot 45}{315} = 20

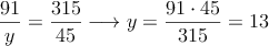
\frac{91}{y}=\frac{315}{45} \longrightarrow y = \frac{91 \cdot 45}{315} = 13

\frac{84}{z}=\frac{315}{45} \longrightarrow z = \frac{84 \cdot 45}{315} = 12

Por tanto, debemos entrevistar a 20 adultos, 13 jóvenes y 12 niños

Comentar el ejercicio