Plano perpendicular a una recta por un punto
Resuelve los siguientes apartados:
– a) Calcular la ecuación del plano
que pasa por
y es perpendicular a la recta
![]()
– b) Corta el plano anterior con los tres ejes de coordenadas y obtendrás tres puntos A, B y C. Calcula el Volumen del tetraedro que determinan.
SOLUCIÓN
Un plano se puede determinar de varias formas, por ejemplo:
– con un punto y dos vectores (o 3 puntos no alineados)
– con un punto un vector perpendicular al plano
En este caso elegiremos la segunda opción, pues tenemos un punto y un vector normal (perpendicular): el vector director de la recta
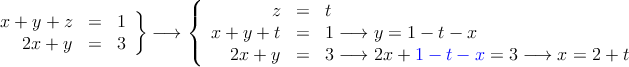
Necesitamos el vector director de la recta.
Para hallar puntos y vectores de una recta en ecuaciones implícitas tenemos varios métodos. En esta ecuación lo haré pasando a ecuaciones paramétricas.

![]()
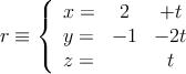
La recta «r» en ecuaciones paramétricas es:

Con el vector director de la recta
y el punto
construimos la ecuación del plano.
Por tener de vector normal
el plano tendrá por ecuación:
![]()
Si le hacemos pasar por el punto
tenemos:
![]()
Por tanto:
![]()
– b) Hallamos los puntos de corte del plano
con los ejes de coordenadas
– Si
– Si
– Si ![]()
Ahora tenemos que calcular el volumen del tetraedro determinado por los puntos A,B,C y O(0,0,0)
Para calcular el volumen del tetraedro formado por los vectores
,
y
se usa el producto mixto
![]()
![[\vec{OA} , \vec{OB} , \vec{OC}]
= \left| \begin{array}{ccc}
4 & 0 & 0 \\
0 & -2 & 0 \\
0 & 0 & 4
\end{array} \right| = -32 [\vec{OA} , \vec{OB} , \vec{OC}]
= \left| \begin{array}{ccc}
4 & 0 & 0 \\
0 & -2 & 0 \\
0 & 0 & 4
\end{array} \right| = -32](local/cache-TeX/3b674d6ccd0fbe6ce6c9ec2000cfaa24.png)
![]()
El volumen es de 16/3 unidades cúbicas