03 - Obteniendo puntos y vectores de las ecuaciones implícitas
Obteniendo puntos de la recta en ecuaciones implícitas
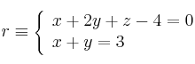
Si necesitamos obtener puntos de una recta expresada en ecuaciones implícitas
disponemos de varios métodos:
– 1) Resolviendo el Sistema Compatible Indeterminado. Eso nos llevará a las ecuaciones paramétricas y dándole valores al parámetro van saliendo los infinitos puntos
– 2) Dando un valor fácil a una de las incógnitas (ejemplo: x=0) y calculando las otras dos incógnitas. Es el método más rápido cuando alguna de las ecuaciones es incompleta.
Ejemplo del método 2

Si hacemos
obtenemos fácilmente en la segunda ecuación que
. Sustituimos ambos resultados en la primera ecuación y obtenemos que
y así obtendríamos el primer punto
.
Usando el mismo procedimiento obtendríamos más puntos.
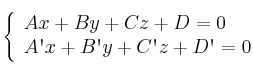
Obteniendo el vector director de la recta en ecuaciones implícitas
Una manera rápida de obtener un vector director de una recta dada en implícitas es la siguiente:


Lo anterior se basa en la definición de producto vectorial y en que las ecuaciones implícitas de una recta, en realidad son las ecuaciones de dos planos que se cortan.