Plano que pasa por dos puntos y es paralelo a una recta
Calcular la ecuación del plano que pasa por
y
y es paralelo a la recta ![]()
SOLUCIÓN
Recordemos que para determinar un plano se necesita una de estas opciones:
– un punto y un vector perpendicular al plano
– un punto y dos vectores paralelos al plano
Elegimos la segunda opción:
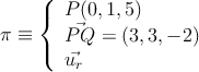
– como punto tomamos P (también podemos elegir Q)
– como vectores tomamos el vector PQ y el vector director de la recta

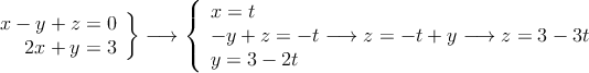
Para obtener el vector director
de la recta tenemos varios métodos, uno de ellos es pasar la recta a ecuaciones paramétricas:

Quedaría así: 
Por tanto su vector director es ![]()
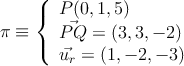
Ya tendríamos determinado el plano

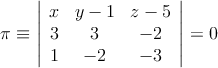
Hallamos su ecuación general

![]()
Mensajes
20 de abril de 2020, 13:13, por Jesús
Hola: ¿PQ no sería (3, 3, -2)? Gracias.
20 de abril de 2020, 14:53, por dani
Si. Tienes razón. Había un error en el signo.
Ya está corregido.