Probabilidad Condicionada
La probabilidad de un suceso
condicionada a otro suceso
, es la probabilidad de que ocurra
sabiendo que ha ocurrido
.
Se representa
y se lee “Probabilidad de A condicionado a B”.
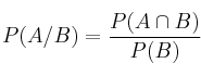
La probabilidad condicionada se puede calcular con la fórmula:
