Probabilidad sucesos. Ejercicio 4708

Ejercicios_Resueltosprobabilidad

a) Dados dos sucesos A y B de un experimento aleatorio, se sabe que P(A)=0.3 , P(B)=0.2 y P(A/B)=0.5.
Calcular P(A \cap B) y P(A \cup B)

b) Sabiendo que P(A \cup B)=0.95 , P(A \cap B)= 0.35 y P(A/B)= 0.5.
Hallar P(A), P(B) y P(A^c \cap B^c)

SOLUCIÓN

a) se sabe que P(A)=0.3 , P(B)=0.2 y P(A/B)=0.5.
Calcular P(A \cap B) y P(A \cup B)

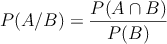
Si usamos la fórmula de la probabilidad condicionada

P(A/B)  = \frac{P(A \cap B)}{P(B)}


y la aplicamos a este caso, obtenemos

0.5  = \frac{P(A \cap B)}{0.2} \longrightarrow 0.5 \cdot 0.2 = P(A \cap B) \longrightarrow \fbox{0.1 = P(A \cap B)}

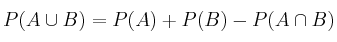
Usamos ahora la fórmula de la unión:

P(A \cup B) = P(A)+P(B)-P(A \cap B)

P(A \cup B) = 0.3+0.2 -0.1  \longrightarrow \fbox{P(A \cup B) = 0.4}


b) Sabiendo que $P(A \cup B)=0.95$ , $P(A \cap B)= 0.35$ y $P(A/B)= 0.5$.
Hallar $P(A)$, $P(B)$ y $P(A^c \cap B^c)$

Con la fórmula de la probabilidad condicionada
P(A/B)  = \frac{P(A \cap B)}{P(B)}

0.5  = \frac{0.35}{P(B)}

P(B) \cdot 0.5  =0.35 \longrightarrow P(B)=\frac{0.35}{0.5} \longrightarrow \fbox{P(B)=0.7}

Con la fórmula de la unión

P(A \cup B) = P(A)+P(B)-P(A \cap B)

0.95 = P(A)+0.7-0.35

0.95-0.7+0.35 = P(A)

\fbox{0.6 = P(A)}

Aplicamos ahora las leyes de Morgan:

P(A^c \cap B^c) = P(A \cup B)^c = 1 - P(A \cup B) = 1-0.95 = \fbox{0.05}

Comentar el ejercicio