• Apuntes
  • Vídeos
  • Ejercicios
    • Resueltos
    • Por Curso
      • 1º ESO
      • 2º ESO
      • 3º ESO
      • 4º ESO
      • 1º BACH. CIENCIAS
      • 1º BACH. SOCIALES
      • 2º BACH. CIENCIAS
      • 2º BACH. SOCIALES
  • Más recursos
    • Actividades Interactivas
    • Selectividad (PAU)
    • Acceso Mayores 25
    • LaTeX
Inicio ›EJERCICIOS de Matemáticas ›2º BACH. SOC. ›Funciones y Derivadas ›Selectividad Andalucía 2004-3-A2

Selectividad Andalucía 2004-3-A2

andalucíaderivada de una funciónEjercicios_ResueltosfuncionesMatemat_Soc_Andalucia_2004selectividad

Calcule las derivadas de las siguientes funciones (no es necesario simplificar el resultado):

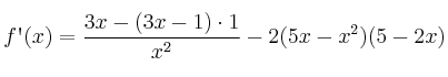
– a) f(x)=\frac{3x-1}{x} - (5x-x^2)^2
– b) g(x)=(x^2-1) L x
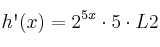
– c) h(x)=2^{5x}
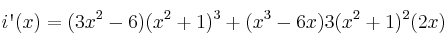
– d) i(x)=(x^3-6x) (x^2+1)^3

SOLUCIÓN

– a) f\textsc{\char13}(x)=\frac{3x-(3x-1) \cdot 1}{x^2} - 2(5x-x^2) (5-2x)
– b) g\textsc{\char13}(x)=2x L x + (x^2-1) \frac{1}{x}
– c) h\textsc{\char13}(x)=2^{5x} \cdot 5 \cdot L 2
– d) i\textsc{\char13}(x)=(3x^2-6) (x^2+1)^3 + (x^3-6x) 3 (x^2+1)^2 (2x)

Comentar el ejercicio

  • 2º BACH. SOC.
    • Estadística
    • PEvAU - SELECTIVIDAD
    • Programación Lineal
    • Matrices, Determinantes y Sistemas
    • Probabilidad
    • Funciones y Derivadas
  • Mapa del sitio
  • Conectarse
  • 2001-2026 — Matemáticas IES — Contactar con Dani