Selectividad Andalucía 2004-4-B2
– Estudie la continuidad y derivabilidad de la función:

– Calcule la derivada de
SOLUCIÓN
Continuidad
En
es continua (las funciones polinómicas son continuas en todo R)
En
es continua (es una función racional continua en
, por tanto es continua en este intervalo, pues el -2 queda fuera del intervalo).
Estudiamos la continuidad en x=3 aplicando la definición de continuidad (por ser un punto de separación entre dos trozos)
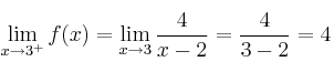
–
–
Ambos límites laterales coinciden, por tanto ![]()
Como la imagen y el límite coinciden, podemos afirmar que es continua en x=3
Resumiendo: f(x) es continua en todo R
Derivabilidad
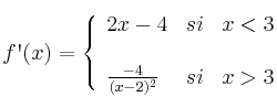
En
es derivable y su derivada es
En
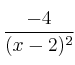
es derivable y su derivada es 
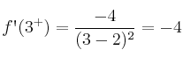
En x=3 debemos comprobar si sus derivadas laterales coinciden:
Las derivadas laterales no coinciden, por tanto no es derivable en x=3.
Resumiendo: f es derivable en
, siendo:

– b) Aplicando la fórmula de la derivada de la función exponencial obtenemos:
![]()
Aunque no nos piden simplificar, podemos hacerlo sacando factor común
, y así quedaría:
![]()