Selectividad Andalucía 2012-6-A3
Una urna contiene 25 bolas blancas sin marcar, 75 bolas blancas marcadas, 125 bolas negras sin marcar y 175 bolas negras marcadas. Se extrae una bola al azar.
– a) Calcule la probabilidad de que sea blanca.
– b) ¿Cuál es la probabilidad de que sea blanca sabiendo que está marcada?
– c) ¿Cuál es la probabilidad de que sea negra y esté marcada?
– d) ¿Son independientes los sucesos "sacar bola marcada" y "sacar bola blanca"?
SOLUCIÓN
Puesto que nos dan datos absolutos (número de bolas) en lugar de probabilidades o porcentajes, el método más sencillo es usando una tabla de doble entrada.
Creamos la tabla con los datos del enunciado:

Tenemos todos los datos, tan sólo necesitamos calcular las sumas laterales y la suma total:

Ahora sólo nos queda calcular probabilidades según Laplace (casos favorables / casos posibles)
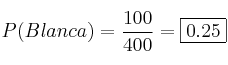
– a)
– b)
– c)
– d) Llamamos
«sacar bola blanca» y
«sacar bola marcada»
Serán independientes si se verifica que

Como ambos resultados no son iguales, concluimos que no son independientes