Selectividad Andalucía 2013-2-A2

andalucíaEjercicios_ResueltosfuncionesMatemat_Soc_Andalucía_2013selectividad

En una empresa de montajes el número de montajes diarios realizados por un trabajador depende de los días trabajados según la función
M(t)=\frac{11t+17}{2t+12} \: \: \:, \: \: \: t \geq 1 ,
donde t es el número de días trabajados.

 a) ¿Cuántos montajes realiza el primer día? ¿Cuántos días necesitará para
realizar cinco montajes diarios?
 b) ¿Qué ocurriría con el número de montajes diarios si trabajara indefinidamente?
 c) El dueño de la empresa cree que el número de montajes diarios aumenta con los días de trabajo. Estudiando la función, justifique si es cierta dicha creencia.
 d) Dibuje la gráfica de la función.

SOLUCIÓN

 a) Para t=1 tenemos M(1)=\frac{11 \cdot 1+17}{2 \cdot 1+1 2} = \frac{28}{14} = 2
El primer día realiza 2 montajes

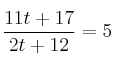
Para realizar 5 montajes diarios, M(t) = 5, por tanto \frac{11t+17}{2t+12}=5
Resolviendo la ecuación obtenemos t=43 , por tanto necesita 43 días para realizar 5 montajes diarios.

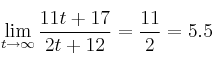
 b) Podemos responder a esta cuestión después de dibujar la gráfica. Si queremos responder sin dibujar la gráfica, calculamos el límite \lim_{t \rightarrow \infty} \frac{11t+17}{2t+12} = \frac{11}{2} = 5.5
Por tanto, si trabaja indefinidamente el número de montajes diarios tenderá a ser 5.5

 c) En realidad nos están preguntando si la función es creciente para t > 1.
Si estudiamos la monotonía de la función, vemos que es creciente en todo su dominio.
Otra manera de verlo: La gráfica de la función es una hipérbola (que son siempre crecientes o siempre decrecientes). Si vemos la gráfica (en el apartado siguiente) comprobamos que es creciente, por tanto el número de montajes irá aumentando, aunque sin llegar a rebasar los 5.5 (tiene una asíntota horizontal en y=5.5)

 d)

Comentar el ejercicio