Selectividad Andalucía 2013-2-B1
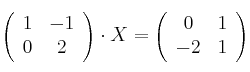
Sean las matrices
![]()
,
![]()
,
![]()
– a) Resuelva la ecuación matricial
– b) Determine en cada caso la dimensión de la matriz D para que se puedan realizar las siguientes operaciones:
,
,
, ![]()
SOLUCIÓN
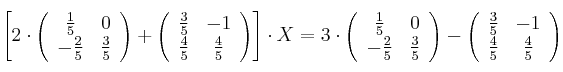
– a) Aunque las matrices tienen fracciones, se pueden usar decimales puesto que todas las fracciones son quintos (decimales exactos).
(sustituimos las matrices conocidas)
![\left[ 2 \cdot \left(\begin{array}{cc} \frac{1}{5} & 0 \\ -\frac{2}{5} & \frac{3}{5}\end{array}\right)+ \left(\begin{array}{cc} \frac{3}{5} & -1 \\ \frac{4}{5} & \frac{4}{5}\end{array}\right) \right] \cdot X = 3 \cdot \left(\begin{array}{cc} \frac{1}{5} & 0 \\ -\frac{2}{5} & \frac{3}{5}\end{array}\right) - \left(\begin{array}{cc} \frac{3}{5} & -1 \\ \frac{4}{5} & \frac{4}{5}\end{array}\right) \left[ 2 \cdot \left(\begin{array}{cc} \frac{1}{5} & 0 \\ -\frac{2}{5} & \frac{3}{5}\end{array}\right)+ \left(\begin{array}{cc} \frac{3}{5} & -1 \\ \frac{4}{5} & \frac{4}{5}\end{array}\right) \right] \cdot X = 3 \cdot \left(\begin{array}{cc} \frac{1}{5} & 0 \\ -\frac{2}{5} & \frac{3}{5}\end{array}\right) - \left(\begin{array}{cc} \frac{3}{5} & -1 \\ \frac{4}{5} & \frac{4}{5}\end{array}\right)](local/cache-TeX/f1ce438f2d7f66daed0379699156eedb.png)
Realizamos las operaciones posibles (a izquierda y derecha del signo igual)

Ahora podemos concluir claramente que la matriz
es de dimensión
, por lo que podemos asignarle incógnitas a sus elementos:

Operamos a la izquierda del signo igual:
![]()
Igualando elemento a elemento obtenemos:
,
,
, ![]()
Por tanto la matriz es ![]()
– b)
es de dimensión
es de dimensión
es de dimensión
(con
es de dimensión ![]()
Mensajes
25 de noviembre de 2017, 13:39, por Luis
Hola, gracias por la solución del ejercicio. Tengo una duda en el último paso, ¿a qué se refiere con igualar los elementos (a,b,c,d)?
6 de diciembre de 2017, 08:43, por dani
Si dos matrices son iguales significa que todos los elementos (uno a uno) son iguales. Por ello, lo que hacemos es igualar todos los elementos uno a uno:
– el primero arriba izquierda de una matriz = al primero arriba izquierda de la otra matriz
– y así igualamos uno a uno
25 de noviembre de 2017, 13:44, por Luis
¿alguien me puede resolver la duda?