Selectividad Andalucía 2013-3-B3
En una empresa, el 65 % de sus empleados habla inglés, y de éstos, el 40 % habla también alemán. De los que no hablan inglés, el 25 % habla alemán. Se escoge un empleado al azar:
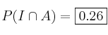
– a) ¿Cuál es la probabilidad de que hable ambos idiomas?
– b) ¿Cuál es la probabilidad de que hable alemán?
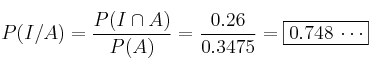
– c) ¿Cuál es la probabilidad de que, sabiendo que habla alemán, hable
también inglés?
SOLUCIÓN
– a)
– b)
– c) 