Selectividad Andalucía 2013-5-A3
Una granja avícola dedicada a la producción de huevos posee un sistema automático de clasificación en tres calibres según su peso: grande, mediano y pequeño. Se conoce que el
de la producción es clasificada como huevos grandes, el
como medianos y el
restante como pequeños. Además, se sabe que este sistema de clasificación produce defectos por rotura en el cascarón que dependen del peso. Así, la probabilidad de que un huevo grande sea defectuoso por esta razón es del
, la de uno mediano del
y de un
la de uno pequeño. Elegido aleatoriamente un huevo,
– a) ¿cuál es la probabilidad de que sea defectuoso?
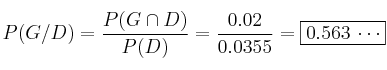
– b) Si el huevo es defectuoso, ¿cuál es la probabilidad de que sea grande?
SOLUCIÓN
– a)
– b) 