Selectividad Andalucía 2014 - 1 - B2
Sea
la función definida por ![]()
– a) Calcula la ecuación de la recta tangente a la gráfica de
en el punto de abcisa
– b) Calcula la primitiva de
cuya gráfica pasa por el punto ![]()
SOLUCIÓN
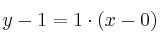
– a) La ecuación de la recta tangente (ver teoría) en el punto de abcisa
viene dada por la expresión
Para el punto
sería:
![]()
Necesitamos calcular
y ![]()
Por tanto la recta quedaría así
Que podemos expresar como 
– b) Debemos calcular la integral indefinida con constante de integración, que es el conjunto de todas las primitivas de la función. Después le hacemos cumplir la condición de que pase por (0,0) y eso nos dará el valor de la constante.
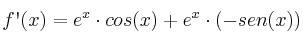
Para calcular
usaremos el método de integración por partes, llamando «u» a la trigonométrica y «dv» a la exponencial (a las exponenciales siempre les asignamos «dv» porque son más fáciles de integrar).
Aplicamos la fórmula
y obtenemos:
que podemos expresar de la forma:

Volvemos a aplicar "partes" a
Aplicando la fórmula de integración por partes:

En definitiva tendríamos:
Si llamamos
, podemos expresarlo así:
![]()
![]()


Por tanto, cualquier primitiva será de la forma:

Para calcular la que pasa por (0,0) , basta con aplicar

La primitiva que nos piden sería:
