Introducción a la Integración por Partes
La fórmula que usaremos para el método de integración por partes es la siguiente:

Consiste en poner la expresión a integrar como un producto
(para poder aplicar la fórmula)
siendo
la expresión más fácil de derivar
siendo
la expresión más fácil de integrar
Casos más frecuentes:
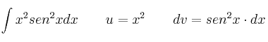
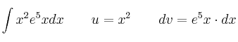
– Polinomio (u) · Exponencial (dv)
– Polinomio (u) · Trigonométrica (dv)
– Logarítmica (u) · Polinomio (dv)
– Trigonométrica (u) · Exponencial (dv)
– etc.
Usar integración por partes sin producto
También se usa el método de integración por partes en 2 casos especiales en los que no hay producto de funciones (sólo una función).
– logaritmo (u=log ; dv=dx)
– arco (u = arco; dv= dx)
arco son funciones del tipo: arco seno, arco coseno, arco tangente
Regla ALPES
La aplicaremos cuando haya un producto de dos funciones
A funciones Arco seno, Arco coseno, Arco tangente
L funciones Logaritmo
P funciones Potencia y Polinomios. Ejemplo ![]()
E funciones Exponenciales
S funciones Seno y coseno
primera función que aparezca en la palabra ALPES
al resto
Ejemplos
–
– 