Selectividad Andalucía 2018 Junio suplente B4
Se quiere estimar la proporción de estudiantes que asiste de forma regular al cine. Para ello, se toma una muestra aleatoria simple de tamaño 300 y se obtiene que de ellos, 210 acuden con regularidad al cine.
– a) Calcule un intervalo de confianza al 92 % para estimar la proporción de estudiantes que va al cine regularmente. ¿Qué error máximo se cometería si se diera como estimación de dicha proporción 0.7?
– b) Con el mismo nivel de confianza, siendo la proporción muestral la misma, si queremos que el error sea menor que 0.02, ¿cuántos alumnos como mínimo hay que elegir en la muestra?
SOLUCIÓN
– a) Nos piden un intervalo de confianza para la proporción

Y nos aportan los datos:
–
(proporción de la muestra)
–
(proporción de la población; cuando no se conozca se toma la proporción de la muestra)
–
: tamaño de la muestra
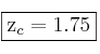
– confianza: ![]()
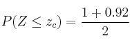
Cálculo del valor crítico ![]()

Miramos la tabla de la N(0,1) y obtenemos 
Con todos los datos ya disponibles, creamos el intervalo de confianza


![]()
![]()
El error máximo sería
(aproximadamente un
)
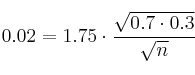
– b) Con los mismos datos del apartado anterior, si queremos que el error sea menor que 0.02 tendríamos:


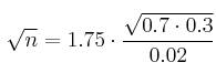
Tenemos que despejar "n"



Para que el error sea menor que 0.02 deberíamos tomar una muestra de 